在做射频的时候,选择电感电容时特别关注他们的Q值,那么Q值是什么意思,它为什么重要?
品质因数Q:表征一个储能器件(如电感线圈、电容等)、谐振电路所储能量同每周损耗能量之比的一种质量指标。元件的Q值愈大,用该元件组成的电路或网络的选择性愈佳。

或Q=无功功率/有功功率,或称特性阻抗与回路电阻之比。
Q值越高,损耗越小,效率越高;
Q 值越高,谐振器的频率稳定度就越高,因此,能够更准确。因数Q是表示线圈质量的一个重要参数。Q值的大小,表明电感线圈损耗的大小,其Q值越大,线圈的损耗越小;反之,其损耗越大。
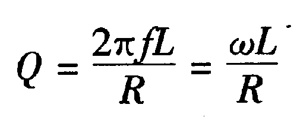
品质因数Q的定义为:当线圈在某一频率的交流电压下工作时,线圈所呈现的感抗和线圈直流电阻的比值。它可以用公式表达如下:

式中:w--工作角频率 L--线圈电感量 R--线圈总耗损电阻
根据使用场合的不同,对品质因数Q的要求也不同。对调谐回路中的电感线圈,Q值要求较高,因为Q值越高,回路的损耗就越小,回路的效率就越高;对鹅合线圈来说,Q值可以低一些;而对于低频或高频扼流圈,则可以不做要求。
实际上,Q值的提高往往受到一些因素的限制,如导线的直流电阻、线圈骨架的介质损耗、铁心和屏蔽引起的损耗以及高频工作时的集肤效应等。因此,线圈的Q值不可能做得很高,通常Q值为几十至一百,最高也只有四五百。